sportsregions
Installer
Inscriptions 2025-2026
Le club
News
Organigramme
Réglement Intérieur
Documents
Se former
Devenir Officiels Juges et Arbitres
Devenir Bénévole
Albums Photos
Albums Vidéos
Contact et Plan
Lu dans la presse 2024/2025
École de natation
Para natation
Enfants et adultes perfectionnement
Découverte des 4N
Loisirs adultes
Masters et Swimrun
Compétition
Natation en compétition
Sections sportives Collège / Lycée
TOP 10 all time
Records du club
Natation Artistique
Water-Polo
La boutique
17e Meeting du Choletais
Partenariat
Lu dans la presse 2020/2021
Lu dans la presse 2019/2020
Lu dans la presse 2018/2019
Lu dans la presse 2016/2017
Lu dans la presse 2015/2016
Lu dans la presse 2014/2015
Lu dans la presse 2013/2014
Nos partenaires
Partenariat - Participer à notre développement !
Championnats de France Interclubs Maîtres - Cholet
Agenda des compétitions
Navigation
Club Aquatique Choletais
Accueil
2018-2019
Les news
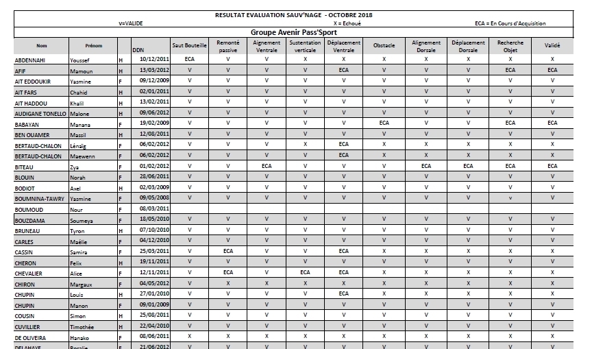
Résultats évaluations Sauv'Nage Décembre 2018
Résultats évaluations Sauv'Nage Décembre 2018
Publiée le
14 déc. 2018
Les résultats des évaluations Sauv'Nage du mois de décembre
sont disponibles
ici
et du Pass'Plongeon
ici
Bravo à tous !
Avenirs Pass'Sport
Partager sur
Facebook
Twitter
Se connecter
Participer au site :
Envie de participer ?
Connexion